Нарисованного уже много чего есть, но нужно привести всё к общему виду, чтобы была таблица конфигурации и разные размеры. По мере получения результата буду в эту тему выкладывать детальки.
Пока нарисовал
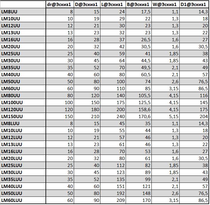
Линйные подшипники LMXXUU и LMXXLUU под валы от 8 до 150 мм.
Чертежик: Таблица размеров:
