Элементы для SolidWorks

Конструкции станков, линейные перемещения, направляющие, передачи.
Аватара пользователя
sr480
Мастер
Сообщения: 1295
Зарегистрирован: 08 янв 2012, 20:48
Репутация: 139
Откуда: Ростов-на-Дону
Контактная информация:

Элементы для SolidWorks

Сообщение sr480 »

Решил сделать свой каталог деталей для солида.
Нарисованного уже много чего есть, но нужно привести всё к общему виду, чтобы была таблица конфигурации и разные размеры. По мере получения результата буду в эту тему выкладывать детальки.

Пока нарисовал

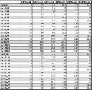
Линйные подшипники LMXXUU и LMXXLUU под валы от 8 до 150 мм.


Чертежик:
Чертежик (7718 просмотров) <a class='original' href='./download/file.php?id=7365&mode=view' target=_blank>Загрузить оригинал (134.51 КБ)</a>
Чертежик
Таблица размеров:
Таблица размеров (7718 просмотров) <a class='original' href='./download/file.php?id=7366&mode=view' target=_blank>Загрузить оригинал (131.58 КБ)</a>
Таблица размеров
Вложения
Linear motion bearing.rar
Файл с моделью
(195.89 КБ) 832 скачивания
aftaev
Зачётный участник
Зачётный участник
Сообщения: 34042
Зарегистрирован: 04 апр 2010, 19:22
Репутация: 6194
Откуда: Казахстан.
Контактная информация:

Re: Элементы для SolidWorks

Сообщение aftaev »

это типо Тулбокса?
Дилетанту сложные вещи кажутся очень простыми, и только профессионал понимает насколько сложна самая простая вещь
Кто хочет - ищет возможности, кто не хочет - ищет оправдание.
Найди работу по душе и тебе не придется работать.
Аватара пользователя
sr480
Мастер
Сообщения: 1295
Зарегистрирован: 08 янв 2012, 20:48
Репутация: 139
Откуда: Ростов-на-Дону
Контактная информация:

Re: Элементы для SolidWorks

Сообщение sr480 »

Ага :)
Ща делаю шкивы, но блин что-то не получается сделать настраиваемым количество зубов.

Чтоб добавить в тулбокс открываем, потом в дереве на корневом узле жмем правой кнопанькой и выбираем добавить в библиотеку (Add to library)
aftaev
Зачётный участник
Зачётный участник
Сообщения: 34042
Зарегистрирован: 04 апр 2010, 19:22
Репутация: 6194
Откуда: Казахстан.
Контактная информация:

Re: Элементы для SolidWorks

Сообщение aftaev »

под какой солид заточено?
Дилетанту сложные вещи кажутся очень простыми, и только профессионал понимает насколько сложна самая простая вещь
Кто хочет - ищет возможности, кто не хочет - ищет оправдание.
Найди работу по душе и тебе не придется работать.
Аватара пользователя
sr480
Мастер
Сообщения: 1295
Зарегистрирован: 08 янв 2012, 20:48
Репутация: 139
Откуда: Ростов-на-Дону
Контактная информация:

Re: Элементы для SolidWorks

Сообщение sr480 »

у меня 2011 стоит. можно наверное для более старых экспортировать?
Аватара пользователя
sr480
Мастер
Сообщения: 1295
Зарегистрирован: 08 янв 2012, 20:48
Репутация: 139
Откуда: Ростов-на-Дону
Контактная информация:

Re: Элементы для SolidWorks

Сообщение sr480 »

Алюминиевый профиль из purelogic

AL-3030-8

AL-3030-8.JPG (7709 просмотров) <a class='original' href='./download/file.php?id=7369&mode=view' target=_blank>Загрузить оригинал (112.62 КБ)</a>

AL-3060-8

AL-3060-8.JPG (7709 просмотров) <a class='original' href='./download/file.php?id=7371&mode=view' target=_blank>Загрузить оригинал (112.06 КБ)</a>
Вложения
AL-3030-8.rar
(199.38 КБ) 907 скачиваний
AL-3060-8.rar
(286.41 КБ) 901 скачивание
Аватара пользователя
aegis
Мастер
Сообщения: 3171
Зарегистрирован: 22 мар 2012, 06:59
Репутация: 1810
Настоящее имя: Михайло
Откуда: Україна, Конотоп=>Запоріжжя=>Харьків

Re: Элементы для SolidWorks

Сообщение aegis »

sr480 писал(а):Ща делаю шкивы
не нужно. есть программа гертрах для этих целей...
нікому нічого не нав'язую.
aftaev
Зачётный участник
Зачётный участник
Сообщения: 34042
Зарегистрирован: 04 апр 2010, 19:22
Репутация: 6194
Откуда: Казахстан.
Контактная информация:

Re: Элементы для SolidWorks

Сообщение aftaev »

aegis писал(а):не нужно. есть программа гертрах для этих целей...
ток она не на все версии идет :)
Дилетанту сложные вещи кажутся очень простыми, и только профессионал понимает насколько сложна самая простая вещь
Кто хочет - ищет возможности, кто не хочет - ищет оправдание.
Найди работу по душе и тебе не придется работать.
Аватара пользователя
sr480
Мастер
Сообщения: 1295
Зарегистрирован: 08 янв 2012, 20:48
Репутация: 139
Откуда: Ростов-на-Дону
Контактная информация:

Re: Элементы для SolidWorks

Сообщение sr480 »

LMXXUU-OP

LMXXUU-OP.JPG (7683 просмотра) <a class='original' href='./download/file.php?id=7390&mode=view' target=_blank>Загрузить оригинал (195.61 КБ)</a>

ER-11 Винт

Поленился делать конфигурации, да и не понятно есть ли вобще каталог на винты ER-11, если кому пригодится - можно и так редактировать.
ER-11 винт.JPG (7683 просмотра) <a class='original' href='./download/file.php?id=7392&mode=view' target=_blank>Загрузить оригинал (63.46 КБ)</a>

ER-11 Гайка

ER-11 гайка.JPG (7683 просмотра) <a class='original' href='./download/file.php?id=7395&mode=view' target=_blank>Загрузить оригинал (99.2 КБ)</a>
Вложения
Linear motion bearing OP.rar
(658.31 КБ) 689 скачиваний
ER-11 винт.rar
(67.67 КБ) 649 скачиваний
ER-11 гайка.rar
(138.64 КБ) 644 скачивания
Аватара пользователя
sr480
Мастер
Сообщения: 1295
Зарегистрирован: 08 янв 2012, 20:48
Репутация: 139
Откуда: Ростов-на-Дону
Контактная информация:

Re: Элементы для SolidWorks

Сообщение sr480 »

TBSXXA-XXX

Рельса из PureLogic'а. Надо сравнить с китайскими - тогда и их начерчу.
Длины стандартные.
TBSXXA.JPG (7677 просмотров) <a class='original' href='./download/file.php?id=7397&mode=view' target=_blank>Загрузить оригинал (190.7 КБ)</a>
Снимок.JPG (7677 просмотров) <a class='original' href='./download/file.php?id=7398&mode=view' target=_blank>Загрузить оригинал (157.1 КБ)</a>
Вложения
TBSXXA.rar
(347.5 КБ) 796 скачиваний
oex
Новичок
Сообщения: 1
Зарегистрирован: 02 мар 2013, 00:19
Репутация: 0
Контактная информация:

Re: Элементы для SolidWorks

Сообщение oex »

Держатель вала SH16
Вложения
Держатель вала SH16.rar
(60.52 КБ) 712 скачиваний
Аватара пользователя
ultrus
Мастер
Сообщения: 2039
Зарегистрирован: 09 апр 2013, 05:42
Репутация: 1329
Настоящее имя: Юрий
Откуда: Воронеж
Контактная информация:

Re: Элементы для SolidWorks

Сообщение ultrus »

sr480 писал(а):Решил сделать свой каталог деталей для солида.
Хорошая тема забыта.
Может у кого-то найдётся пара минут скинуть сюда несколько своих или чужих испытанных моделей.
Очень полезный справочник может получиться.
Конечно, много чего есть на GRABCAD: https://grabcad.com/library?page=1&time ... &query=CNC
Но, много и нет...
"Если хочешь сделать что-то хорошо, сделай это сам."
Фердинанд Порше
Аватара пользователя
Lexxa
Мастер
Сообщения: 2703
Зарегистрирован: 16 дек 2011, 16:48
Репутация: 319
Настоящее имя: Алексей
Откуда: ryazan
Контактная информация:

Re: Элементы для SolidWorks

Сообщение Lexxa »

Привет! У тебя случаем нет модели для 67К25?
http://www.chipmaker.ru/topic/170739/page__st__60


И посоветуй производителя серв подешевле и побезгеморней плз...
:bender:
Ответить

Вернуться в «Механика»