Прогноз развития станкостроения и роботостроения

Общие вопросы станкостроения и организиции труда.
Аватара пользователя
Гармонист
Почётный участник
Почётный участник
Сообщения: 423
Зарегистрирован: 24 апр 2011, 09:14
Репутация: 72
Откуда: планета Земля
Контактная информация:

Прогноз развития станкостроения и роботостроения

Сообщение Гармонист »

Цель статьи: "когда знаешь где цель - больше шансов в неё попасть."

Мой план(видение/прогноз) развития станкостроения для домашнего пользования.

Описание из будущего в настоящее:
Принципиально станкостроение движется к роботостроению.
станок с чпу будущего (17377 просмотров) <a class='original' href='./download/file.php?id=1998&mode=view' target=_blank>Загрузить оригинал (71.79 КБ)</a>
станок с чпу будущего
(слышали про чемпионат танцующих роботов в Японии?)
В будущем это скорее всего будут заводы выпускающие полностью собранную модель,
как сейчас продают полностью собранный компьютер или станок с чпу.
(Продажи по частям останутся, но не для домашней сборки, а в основном для лабораторий и т.п...)
Эта модель будет иметь возможность подключения к производителю и авто-обновлению ПО.
Но это время еще не наступило.
----------------------
кисть робота, современный прототип (17297 просмотров) <a class='original' href='./download/file.php?id=2038&mode=view' target=_blank>Загрузить оригинал (510.74 КБ)</a>
кисть робота, современный прототип
До этого заводы будут выпускать мастер-киты для "Собери робота сам из запчастей",
как сейчас еще производители продают запчасти компьютеров: отдельно процессор, отдельно материнскую плату,...
Сборку будут производить сами потребители на дому, а так же будут сборочные фирмы,
которые будут специализироваться на оптимальном подборе комплектующих роботов для того или иного решения.
Время этих заводов так же еще не наступило.


----------------------
До этого завод(ы) будут выпускать готовых роботов, но различных типов. Каждый робот под конкретную задачу.
Имеется в виду не промышленные машины, а домашние роботы: роботы игрушки, роботы уборщики, роботы для творчества, роботы погрузчики...
робот wall-e (17343 просмотра) <a class='original' href='./download/file.php?id=2031&mode=view' target=_blank>Загрузить оригинал (34.2 КБ)</a>
робот wall-e
Каждый робот будет иметь большей спектр возможностей(и поиграть и мусор вынести и помочь погрузить...),
но некоторые функции он будет выполнять лучше, другие хуже. По этим различиям и будет строиться торговый ряд роботов.
Время этих заводов так же еще не наступило.
----------------------
До этого ПО роботов станет работать на нечеткой логике или на смеси нейронные сети + анализатор с вшитыми законами.
Это уже наступает... можете почитать про нейронные самообучающиеся сети, генетические алгоритмы...
нейронная сеть
нейронная сеть
нейронная сеть.jpg (13.9 КБ) 17343 просмотра
я уже видел в передаче программу как робота обучают ходить, бегать, прыгать, преодолевать препятствия, и это все на основе самообучения!
Создается виртуальная среда(при достаточном финансировании можно и реальную среду создать) в которой роботов побуждают к действиям,
затем из них выбирают лучшего, снова побуждают к действиям, снова отбор... и так получают готовую программу, обученную заданным навыкам,
для вшивки в робота, причем этот робот сможет преодолевать не только препятствия на которых учился, но и подобные препятствия!
Четкой логикой этого нельзя достичь.
Возможно это не будут ни нейронные сети, ни генетические алгоритмы... но без развития ПО нельзя перейти к следующему шагу.

Цели этого этапа: 2е видеокамеры и распознавание реального объекта воздействия (заготовки) роботом, при этом создается 3Д модель реального объекта.
3d фотоаппарат с двумя объективами (17377 просмотров) <a class='original' href='./download/file.php?id=2000&mode=view' target=_blank>Загрузить оригинал (33.25 КБ)</a>
3d фотоаппарат с двумя объективами
далее алгоритм простой: сравнение реального объекта с целевым(заданным, тем что требуется достичь),
далее выбор воздействия на объект и само воздействие.

Распознавание должно быть в реальном времени - четкая логика с трудом быстро справится с данной задачей,
а нейросети на порядок быстрее. Для этих алгоритмов должны получить массовое распространение процессоры для нейросетей.
Такие процессоры уже существуют, но слабо применяются.
Процессор для нейросетей (3-Dimensional Artificial Neural Network Processor) (17327 просмотров) <a class='original' href='./download/file.php?id=2035&mode=view' target=_blank>Загрузить оригинал (38.86 КБ)</a>
Процессор для нейросетей (3-Dimensional Artificial Neural Network Processor)
http://nature.web.ru/db/msg.html?mid=1174273
http://www.jpl.nasa.gov/news/features.cfm?feature=500
Производители процессоров придерживают эти технологии,
т.к. текущая технология еще себя не изжила и приносит прибыль.
Хотя и на четкой логике все еще будут работать старые роботы.
Это будет относительно длительный период перехода к новым технологиям.
Вероятно этот этап случится внутри корпораций(в военных лабораториях) обладающих высококвалифицированными специалистами,
а потом меееедленно эти технологии просочатся в социальное общество.
Я бы создал открытый GNU проект по разработке такого ПО для станков с чпу.
Время неизвестно...
----------------------
До этого ПО роботов будет работать на четкой логике(как сейчас), но будет присутствовать распознавание реальных образов,
как из прошлого примера, но доступно для доработки рядовым программистом.
Цели этого этапа: 2е видеокамеры и распознавание реального объекта воздействия (заготовки) роботом, при этом создается 3Д модель реального объекта,
на основе стандартной четкой логики.(надо бы отдельную тему сделать)
Скоро...
----------------------
До этого мы должны перейти от станков портального типа к станкам 2го поколения типа "Рука".
рука робота, современный прототип (17297 просмотров) <a class='original' href='./download/file.php?id=2039&mode=view' target=_blank>Загрузить оригинал (67.63 КБ)</a>
рука робота, современный прототип
Я сейчас имею в виду не станки которые собирают сейчас на заводах,
https://www.youtube.com/watch?v=RnIvhlKT7SY
а хобийные станки. Т.е. вместо того чтобы собирать портальный 5иосевой станок стоит делать станок 2го поколения.
В и-нете полно таких станков, но я видел очень мало хобийных, домашней сборки, а не заводской.
станок 2го поколения типа 'Рука' (17297 просмотров) <a class='original' href='./download/file.php?id=2040&mode=view' target=_blank>Загрузить оригинал (12.7 КБ)</a>
станок 2го поколения типа 'Рука'
Почему не делают хобийные станки этого типа? Такие станки хуже портальных? Или их невозможно сделать в домашних условиях?
Сейчас такие станки собирают на заводах, но не домашней сборки...

Вот тема целью которой является как-раз создание такого станочка:
http://www.cnc-club.ru/forum/viewtopic. ... 6939#p6939
----------------------
сейчас мы собираем станки портального типа.
обычный станок с чпу (17343 просмотра) <a class='original' href='./download/file.php?id=2034&mode=view' target=_blank>Загрузить оригинал (26.72 КБ)</a>
обычный станок с чпу
-------------------------------------------------------------------
Развитие по материалам: фанера/дерево, алюминий, стали, сплавы, полимеры, возможно органические био-материалы
Пластик - потому что он на порядок легче металла, но имеет почти такую же жесткость, легче обрабатывается, меньше стирается, не ржавеет, не гремит, ...
Возможно это будет пластик со стальной арматурой внутри, для придания большей жесткости.
благодаря легкому пластику можно использовать менее мощные двигатели!
------------------------------------------------------------------

-------------------------------------------------------------------
Развитие по технологиям производства деталей: литье, вырезание, фрезерование, распечатывание на 3d принтерах, выращивание деталей заданных форм(например при помощи колонии микроорганизмов со специальным генетическим кодом или при помощи нанороботов)
У меня дальняя знакомая знакомых - в научной лаборатории занимается такой темой как "память металлов", когда металл после деформации возвращает свою первоначальную форму., конструирование деталей заданных форм из управляемого материала(как в фильме "супер 8"), ...
------------------------------------------------------------------



Конструктивная критика - приветствуется.
Развиваем тему, поправляем, кидаем ссылки, картинки, чертежи...
Последний раз редактировалось Гармонист 09 сен 2011, 16:08, всего редактировалось 7 раз.
http://cnc-club.ru/forum/viewtopic.php?t=1064 - домашний станок типа "рука"
http://cnc-club.ru/forum/viewtopic.php?t=1107 - быстро создать 3d образ без сканера по фоткам
http://cnc-club.ru/forum/viewtopic.php?t=1073 - прогноз станко-строения
http://livehistory.ru - мозаика складывается
http://www.economics.kiev.ua - почему все так в нашем мире
Аватара пользователя
Nick
Мастер
Сообщения: 22776
Зарегистрирован: 23 ноя 2009, 16:45
Репутация: 1735
Заслуга: Developer
Откуда: Gatchina, Saint-Petersburg distr., Russia
Контактная информация:

Re: Прогноз развития станкостроения и роботостроения

Сообщение Nick »

Мое увлечение станками с ЧПУ, началось с того, что мне захотелось сделать робота, для кладки кирпичных стен. говорю робота а не станка, т.к. такой станок должен был базироваться на мобильном шасси, и иметь длинный манипулятор, для установки кирпичей на стену.

Вообще эта тема все еще иногда витает в моих воспаленных мозгах :).

Моя задача была примерно следующая, перемещение кирпича, весом до 3 кг (взято с небольшим запасом для пустотелого кирпича). Перемещение производится из кузова станка на необходимое место в стене. И финальное позиционирование / подгонка кирпича на свое место. + Распределение необходимого количества раствора.

Изначально я думал делать все на электродвигателях, но сейчас думаю, что возможно гидравлика или пневматика будет более оправданной.

Самая прелесть в том, что не нужно делать точную конструкцию, скажем, необходимая точность начального позиционирования +-10мм. А точное позиционирование происходит потом по месту с привязкой к остальным кирпичам или другим контрольным меткам.

Вопрос стоит в материалах, способах сочленения узлов. мобильном источнике питания и управления.
намбаван

Re: Прогноз развития станкостроения и роботостроения

Сообщение намбаван »

Почему не делают хобийные станки этого типа? Такие станки хуже портальных? Или их невозможно сделать в домашних условиях?
:think:
1.считаю,что для большинства самая муторная часть построения станка-детали,требующие станочной обработки.в таком станке,как на первом видео нужно будет заказывать практически всё,тогда как на трехосевом портальнике,не считая крепления шпинделя,я обошелся пятью простыми токарными деталями с дырками под подшипник.ещё отдал просверлить два отверстия диам.20 в алюминии,но можно было обойтись и без этого,если б купил четыре фланцевых опоры.на эти элементарные детали вместе с поиском иполнителя и переделками у меня ушло как минимум месяца четыре и немало денег :wtf:
2.насколько я понимаю для такого станка нужен специализированный софт.
3.даже уложить в голове принцип обработки на таком станке нужен серьезный уровень абстрактного мышления,что уж говорить о его создании...помимо знаний нужна и куча времени,и коллектив.
если это робокрафт,то кроме денег(неизвестная величина)всё уже есть.только целью задаться,удачи :)
Аватара пользователя
Nick
Мастер
Сообщения: 22776
Зарегистрирован: 23 ноя 2009, 16:45
Репутация: 1735
Заслуга: Developer
Откуда: Gatchina, Saint-Petersburg distr., Russia
Контактная информация:

Re: Прогноз развития станкостроения и роботостроения

Сообщение Nick »

намбаван писал(а):2.насколько я понимаю для такого станка нужен специализированный софт.
С софтом все не так уж и сложно, EMC2, с легкостью управляет любыми станками с количеством осей до 8 штук. Причем управление будет точно таким же как и в портальных станках. Слегка сложнее будет написать CAM программу, но опять же здесь все зависит от функции станка и области его применения. Например, для расстановки деталек на конвейере, программу сделать не сложно, а вот для обработки поверхностей - сложнее. Я думаю, что тот же MasterCAM умеет делать gкод для таких станков.
Аватара пользователя
PKM
Почётный участник
Почётный участник
Сообщения: 4263
Зарегистрирован: 31 мар 2011, 18:11
Репутация: 705
Настоящее имя: Андрей
Откуда: Украина
Контактная информация:

Re: Прогноз развития станкостроения и роботостроения

Сообщение PKM »

намбаван писал(а):Такие станки хуже портальных?
Если коротко - да. Он страшно нежесткий. И никакая система компенсации люфтов тут не поможет.

Предлагаю обратить внимание на принцип, практически лишенный этих недостатков.
https://www.youtube.com/watch?v=JD2ivnla5Dc
https://www.youtube.com/watch?v=R_f9jFh9TgE
https://www.youtube.com/watch?v=y9Jkk-koLIA
Аватара пользователя
Nick
Мастер
Сообщения: 22776
Зарегистрирован: 23 ноя 2009, 16:45
Репутация: 1735
Заслуга: Developer
Откуда: Gatchina, Saint-Petersburg distr., Russia
Контактная информация:

Re: Прогноз развития станкостроения и роботостроения

Сообщение Nick »

Интересно, какие у него приводы/передачи, ШВП или гидравлика? И какая дискретность перемещений?
Аватара пользователя
PKM
Почётный участник
Почётный участник
Сообщения: 4263
Зарегистрирован: 31 мар 2011, 18:11
Репутация: 705
Настоящее имя: Андрей
Откуда: Украина
Контактная информация:

Re: Прогноз развития станкостроения и роботостроения

Сообщение PKM »

http://www.pkmtricept.com/

Вот и чудесная табличка-сравнение станка, робота-руки и Tricept. Жесткость и точность робота практически на порядок ниже, чем станка.
Изображение
Аватара пользователя
Nick
Мастер
Сообщения: 22776
Зарегистрирован: 23 ноя 2009, 16:45
Репутация: 1735
Заслуга: Developer
Откуда: Gatchina, Saint-Petersburg distr., Russia
Контактная информация:

Re: Прогноз развития станкостроения и роботостроения

Сообщение Nick »

Да, прикольно, похоже на график в рекламе орбит, там где такая вогнутая функция, но что по осям на графике никто не говорит. Такое наглядное представление в виде графика "ничего" от "ничего" :hehehe:.

И все таки интересно, что же у них там внутри актуаторов...

Кстати, по центральной оси на некоторых фотках там выглядывает профильная рельса.
Аватара пользователя
PKM
Почётный участник
Почётный участник
Сообщения: 4263
Зарегистрирован: 31 мар 2011, 18:11
Репутация: 705
Настоящее имя: Андрей
Откуда: Украина
Контактная информация:

Re: Прогноз развития станкостроения и роботостроения

Сообщение PKM »

Скорее всего проценты на графике :) Это всего лишь условная схема, но смысл понятен.

А рельса нужна, чтобы не вращалась платформа, которую держат всего лишь 3 штанги переменной длины.
Аватара пользователя
Гармонист
Почётный участник
Почётный участник
Сообщения: 423
Зарегистрирован: 24 апр 2011, 09:14
Репутация: 72
Откуда: планета Земля
Контактная информация:

Re: Прогноз развития станкостроения и роботостроения

Сообщение Гармонист »

Nick писал(а):сделать робота, для кладки кирпичных стен
------------------------------------------------
[Оффтоп]
У меня мамулька на кирпичном заводе проработала всю жизнь пока её за 3 года перед пенсией не сократили из-за кризиса(причем контрактников не сократили!). Так вот занималась она тем, что с пресса своими руками снимала кирпичи и клала их на тележку чтобы отправить на обжиг. Не помню сколько тон кирпичей за смену её нужно было по норме погрузить. Работать по графику приходилось и в ночные(по 3 дня подряд).
[/Оффтоп]

Так вот станок для формовки кирпечей представляет многотонный пресс под которым на уровне рук расположен круг с несколькими формами для кирпичей. В форму засыпается кирпичная масса, потом многотонный пресс по типу отбойного молотка только с интервалом примерно в 5 секунд пресует кирпичную массу. Пресс поднимается, а снизу кирпич выталкивается из формы чтобы его можно было взять. Круг поворачивается новой формой к прессу.

Фишка в том, что если зазевался, (что в ночную очень несложно), то пальцы оторвало(что было неоднократно) и запрессовало в кирпич, так что назад пришивать будет уже нечего.

Так вот - вначале кирпичи снимали специальные роботы с пальцами. И это - еще при союзе!
Но т.к. эти роботы часто ломали еще крохкий кирпич(возможно причина этого в отсутствии специалистов по настройке), их заменили рабочими.

Вот так роботы могли бы служить людям, но видно труд рабочих использовать дешевле...
как говорится - медленнее, но увереннее и меньше брака.
http://cnc-club.ru/forum/viewtopic.php?t=1064 - домашний станок типа "рука"
http://cnc-club.ru/forum/viewtopic.php?t=1107 - быстро создать 3d образ без сканера по фоткам
http://cnc-club.ru/forum/viewtopic.php?t=1073 - прогноз станко-строения
http://livehistory.ru - мозаика складывается
http://www.economics.kiev.ua - почему все так в нашем мире
Аватара пользователя
Nick
Мастер
Сообщения: 22776
Зарегистрирован: 23 ноя 2009, 16:45
Репутация: 1735
Заслуга: Developer
Откуда: Gatchina, Saint-Petersburg distr., Russia
Контактная информация:

Re: Прогноз развития станкостроения и роботостроения

Сообщение Nick »

Да, это повсеместная практика. Знакомый рассказывал про линию по производству блинчиков, так вот там все автоматизированно кроме последней стадии, когда блинчик уже готов, в него все завернуто и он скручен рулетиком, нужно загнуть два его конца. Так вот вместо того, чтобы сделать примитивный механизм, туда ставят двух рабочих который целый день непрерывно загибают края блинов на конвейере.
Аватара пользователя
Гармонист
Почётный участник
Почётный участник
Сообщения: 423
Зарегистрирован: 24 апр 2011, 09:14
Репутация: 72
Откуда: планета Земля
Контактная информация:

Re: Прогноз развития станкостроения и роботостроения

Сообщение Гармонист »

PKM писал(а):Если коротко - да. Он страшно нежесткий.
Хочу уточнить. Нежесткий не сам станок, не детали, которые используются для его изготовления. Детали для его изготовления используются абсолютно такие же как и традиционных портальниках.
Под словами "страшно нежесткий" я полагаю следует понимать что в результате своей конструкции и рычагов та "нежесткость" которая присутствует в станке усиливается многократно.
С этим конечно ничего не поделаешь - такая конструкция, но она дает большие преимущества и перспективы развития!

Кроме того можно уменьшить нежесткость разными методами, для этого и создана эта тема.

Дело в том что прогресс не остановить. Вначале была дубина, потом изобрели молот, ... теперь экскаваторы... это неизбежный процесс. Технофобы пытаются, но у них ничего не получится.

Большая часть людей махнет рукой или будет крутить пальцем у виска мол "рожденный ползать летать как птицы не может"... никто не запрещает... но процесс развития не остановить, т.к. это развитие дает большие преимущества... Как экскаватор дал большие преимущества перед мотыгой, так и во всем...

Это ведь очевидно, что станкостроение движется к робототехнике. Нужно всего лишь придумать и построить лестницу (между текущими портальниками и будущими роботами) чтобы добраться до следующей ступени... или её придумает кто-то другой... но не факт что он поделится своими знаниями... а может даже запатентует так что придется ему еще и платить за пользование его плодами интеллектуального труда...

Вобщем - "кто хочет - ищет возможности"... так давайте их искать вместе...
http://cnc-club.ru/forum/viewtopic.php?t=1064 - домашний станок типа "рука"
http://cnc-club.ru/forum/viewtopic.php?t=1107 - быстро создать 3d образ без сканера по фоткам
http://cnc-club.ru/forum/viewtopic.php?t=1073 - прогноз станко-строения
http://livehistory.ru - мозаика складывается
http://www.economics.kiev.ua - почему все так в нашем мире
Аватара пользователя
PKM
Почётный участник
Почётный участник
Сообщения: 4263
Зарегистрирован: 31 мар 2011, 18:11
Репутация: 705
Настоящее имя: Андрей
Откуда: Украина
Контактная информация:

Re: Прогноз развития станкостроения и роботостроения

Сообщение PKM »

Гармонист, почитайте про станки с параллельной кинематикой. Они в некотором роде устраняют недостатки руки и портала. Правда, у них свои недостатки :)
Аватара пользователя
Гармонист
Почётный участник
Почётный участник
Сообщения: 423
Зарегистрирован: 24 апр 2011, 09:14
Репутация: 72
Откуда: планета Земля
Контактная информация:

Re: Прогноз развития станкостроения и роботостроения

Сообщение Гармонист »

PKM, cпасибо. Я видел твой пост от 08 авг 2011, 11:09
Благодаря тебе нашел интересную страницу http://www.pkmtricept.com/productos/ind ... 1240413472
по компенсации люфтов на базе ципов Siemens 840D
PKM писал(а):почитайте про станки с параллельной кинематикой.
Я уже думал использовать что-то подобное, но еще не понял как работают эти механизмы перемещения.
Не смог разобрать что это? Это какие-то пневмоцилиндры с обратной связью через датчики?
http://cnc-club.ru/forum/viewtopic.php?t=1064 - домашний станок типа "рука"
http://cnc-club.ru/forum/viewtopic.php?t=1107 - быстро создать 3d образ без сканера по фоткам
http://cnc-club.ru/forum/viewtopic.php?t=1073 - прогноз станко-строения
http://livehistory.ru - мозаика складывается
http://www.economics.kiev.ua - почему все так в нашем мире
Аватара пользователя
PKM
Почётный участник
Почётный участник
Сообщения: 4263
Зарегистрирован: 31 мар 2011, 18:11
Репутация: 705
Настоящее имя: Андрей
Откуда: Украина
Контактная информация:

Re: Прогноз развития станкостроения и роботостроения

Сообщение PKM »

Снова настаиваю: это не люфты! Это компенсация неточностей приводов, шарниров и т.д. С люфтами в станках делать нечего.
Аватара пользователя
Гармонист
Почётный участник
Почётный участник
Сообщения: 423
Зарегистрирован: 24 апр 2011, 09:14
Репутация: 72
Откуда: планета Земля
Контактная информация:

Re: Прогноз развития станкостроения и роботостроения

Сообщение Гармонист »

PKM писал(а):настаиваю: это не люфты! Это компенсация неточностей приводов, шарниров и т.д.
Хорошо. Тогда, что такое "люфт"?
Цитата из Вики http://ru.wikipedia.org/wiki/%CB%FE%F4%F2
"Люфт (от нем. Luft «воздух») — зазор между механическими элементами системы управления, обычно связанными с вращением. Величина люфта определяет степень поворота элемента управления, которая не приводит к изменениям в управляемой системе. Чем выше люфт, тем большее воздействие нужно применить к элементу управления для произведения хоть какого-то изменения в объекте управления."
Обратите внимание на слова "обычно связанными с вращением", т.е. не обязательно это связано с вращением.

Давайте разделять проблемы на более мелкие проблемы и решать их по очереди.
Итак - есть проблема "люфтов", и есть проблема "неточностей"
Я конечно могу ошибаться, но исходя из терминологии с википедии как раз именно люфт - легко устраняется энкодером, а вот "неточность" устранить очень сложно (подчеркиваю - это мое личное мнение).
Поправь, меня, пожалуйста, если я не прав.


Возьмем для примера "шарнир" т.к. это очень важная деталь будущих роботов
шарнир.jpg (17345 просмотров) <a class='original' href='./download/file.php?id=2027&mode=view' target=_blank>Загрузить оригинал (23.75 КБ)</a>
шарниры в человеческом теле (17345 просмотров) <a class='original' href='./download/file.php?id=2030&mode=view' target=_blank>Загрузить оригинал (99.85 КБ)</a>
шарниры в человеческом теле
шарниры в кукле.jpg (17345 просмотров) <a class='original' href='./download/file.php?id=2029&mode=view' target=_blank>Загрузить оригинал (26.08 КБ)</a>
шарнир 2.jpg (17345 просмотров) <a class='original' href='./download/file.php?id=2028&mode=view' target=_blank>Загрузить оригинал (32.75 КБ)</a>
На последней фотке изображен шарнир состоящий из двух полусфер.
Внешний диаметр внутренней полусферы на "Дельту" меньше внутреннего диаметра внешней полусферы-кольца.
Вопрос: как правильно назвать эту "дельту" - люфтом или неточностью шарнира :?:
http://cnc-club.ru/forum/viewtopic.php?t=1064 - домашний станок типа "рука"
http://cnc-club.ru/forum/viewtopic.php?t=1107 - быстро создать 3d образ без сканера по фоткам
http://cnc-club.ru/forum/viewtopic.php?t=1073 - прогноз станко-строения
http://livehistory.ru - мозаика складывается
http://www.economics.kiev.ua - почему все так в нашем мире
Аватара пользователя
PKM
Почётный участник
Почётный участник
Сообщения: 4263
Зарегистрирован: 31 мар 2011, 18:11
Репутация: 705
Настоящее имя: Андрей
Откуда: Украина
Контактная информация:

Re: Прогноз развития станкостроения и роботостроения

Сообщение PKM »

Гармонист писал(а):что такое "люфт"?
Собственно говоря, люфт - это зазор. Что и подтверждает википедия.
Гармонист писал(а):люфт - легко устраняется энкодером, а вот "неточность" устранить очень сложно
Это весьма сложный вопрос, варианты разные бывают. Но я считаю, скорее наоборот.
Вообще, энкодер ничего не устраняет. Допустим, есть некоторая неточность шага зубьев зубчатой или винтовой передачи. Энкодер покажет реальное положение, и система управления компенсирует эту неточность. Но если в системе зазор, т.е. при приложении разнонаправленных сил она будет "болтаться", энкодер здесь не поможет.
Гармонист писал(а):как правильно назвать эту "дельту" - люфтом или неточностью шарнира
Люфт, зазор.
Аватара пользователя
Гармонист
Почётный участник
Почётный участник
Сообщения: 423
Зарегистрирован: 24 апр 2011, 09:14
Репутация: 72
Откуда: планета Земля
Контактная информация:

Re: Прогноз развития станкостроения и роботостроения

Сообщение Гармонист »

Гармонист писал(а):люфт - ... устраняется энкодером
PKM писал(а):Вообще, энкодер ничего не устраняет.
Признаю свою ошибку - не "устраняется", а "компенсируется".
Пусть даже не "люфт", а "неточность", НО ведь - "компенсирует" !!!
И задача состоит именно в компенсации, а не устранении люфтов и неточностей.
Ведь наша главная задача - чтобы станок "точно вырезал", а не то чтобы он был "точным" и "точно перемещал инструмент" (хотя для многих это одно и тоже).

Можно ли (теоретически) программно (при помощи датчиков) сделать станок бОлее точным, чем он уже есть(механическая точность)?

PKM писал(а):Допустим, есть некоторая неточность шага зубьев зубчатой или винтовой передачи. Энкодер покажет реальное положение, и система управления компенсирует эту неточность.
Ты сам признаешь, что энкодер позволяет "компенсировать" "неточности", что делает станок бОлее точным!
Это важный момент. Речь идет о том, что у нас был станок с какой-то неточностью, а мы при помощи энкодера уменьшаем неточности станка!
Другими словами, мы программно способны станок более точным. Так?

вопрос №2:

РКМ, ты считаешь, что "люфт" программно(например при помощи энкодера) компенсировать нельзя, а "неточность" можно.
Но если:
PKM писал(а):Люфт, зазор.
тогда что такое "неточность"?
PKM писал(а):Допустим, есть некоторая неточность шага зубьев зубчатой или винтовой передачи. Энкодер ... компенсирует эту неточность.
...Но если в системе зазор, т.е. при приложении разнонаправленных сил она будет "болтаться", энкодер здесь не поможет.
Важный вопрос: "Что есть "неточность шага зубьев" в твоем примере?"
С одной стороны: я себе это образно представил и получил, что гайку просто заклинит, и энкодер в таком случае здесь не поможет. :eh:
С другой стороны: если имеется ввиду например прохудившуюся резьбу и гайка болтается на валу, то получится как раз то что ты пишешь: "...при приложении разнонаправленных сил она будет "болтаться", энкодер здесь не поможет." :wtf:
Другую ситуацию чтобы присутствовала "неточность", которую можно "компенсировать энкодером" и при этом "при приложении разнонаправленных сил не болтало" - я придумать увы не смог. :think:
По моему если есть "неточность", то логически вытекает что "при приложении разнонаправленных сил она будет болтаться". Так?

А это очень важный вопрос.

Я подвожу к тому что(по моему мнению): "люфт", "зазор" и "неточность" это принципиально одно и тоже(хотя многие склонны сужать понятия значения каждого слова). Разница только в том, что в некоторых случаях эти "зазоры" легко компенсируются программно(в таком случае вы называете их "неточности станка"), а в других ситуациях(например такой как я описал ситуацию с шарниром) они компенсируются тяжело (в этих случаях вы называете их "люфтами станка").
Мне кажется, что разница в количестве плоскостей в которых гуляет "люфт/неточность". Если "люфт" гуляет в одной плоскости, то его относительно легко компенсировать(например "люфтящая" гайка на ходовом валу), а если в нескольких(как с шарниром) то сложнее.
Но далее по логике следует - если нет принципиальной разницы между "люфтом" и "неточностью", то и "люфты" так же можно компенсировать программно.

Кто что думает?

--------------------------------------------------
Я понимаю, что я говорю непривычные для большинства вещи. Все привыкли верить что "люфт" устранить невозможно, а я тут зеленая выскочка разрушаю устоявшиеся, проверенные временем взгляды. Но ведь еще 150 лет назад человек так же не мог летать, а теперь может. А 20 лет назад не мог позвонить другу, который находится в степи на мобильный телефон и узнать как у него дела... Хотя радио изобрели около 100 лет назад, а мобильники только 15ть лет назад...

Я ведь не говорю, что 2+2=3.
Все что я говорю теоретически возможно(и даже используется в промышленных станках! Дать ссылки?), или я ошибаюсь в расчетах.
Если ошибаюсь - подскажите где, чтобы это было уроком для таких новичков как я,
чтобы в будущем они не повторяли моих ошибок и сообщество не топталось на месте, не возвращалось к одним и тем же вопросам,
а профессионалы знали куда, т.е. по какой ссылке "послать" новичка с подобным вопросом...)))
http://cnc-club.ru/forum/viewtopic.php?t=1064 - домашний станок типа "рука"
http://cnc-club.ru/forum/viewtopic.php?t=1107 - быстро создать 3d образ без сканера по фоткам
http://cnc-club.ru/forum/viewtopic.php?t=1073 - прогноз станко-строения
http://livehistory.ru - мозаика складывается
http://www.economics.kiev.ua - почему все так в нашем мире
Аватара пользователя
Nick
Мастер
Сообщения: 22776
Зарегистрирован: 23 ноя 2009, 16:45
Репутация: 1735
Заслуга: Developer
Откуда: Gatchina, Saint-Petersburg distr., Russia
Контактная информация:

Re: Прогноз развития станкостроения и роботостроения

Сообщение Nick »

Предлагаю закрепить из вышесказанного
  1. Люфт - размер свободного перемещения управляемой системы без изменения в элементе управления.
    "Величина люфта определяет степень поворота элемента управления, которая не приводит к изменениям в управляемой системе." (Wiki)
    Т.е. насколько сильно можно отклонить инструмент при зафиксированных двигателях.
  2. Неточность - любые отклонения обратной связи управляемой системы от прогнозируемого положения рассчитанного исходя из положения элементов управления исключая любой люфт.
    В том числе неравномерность резьбы, неровность направляющих и т.д.
Попробую описать проблему люфта с теоретически.
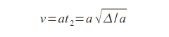
Предположим есть линейная ось X, с люфтом Δ. Система подвержена хаотическим не прогнозируемым вибрациям. Максимальное ускорение оси X = а.
Максимальную скорость опустим, т.к. обычно люфты достаточно малы, чтобы станок мог разогнаться до максимальной скорости на таком расстоянии.
Условно управление - винт, управляемая система - гайка.

Самая критическая ситуация:
Начало: станок находится в таком положении что люфт выбран справа (слева - просто зеркальный случай). Из-за вибрации, гайка смещается влево.
люфт.png
люфт.png (11.24 КБ) 17286 просмотров
Для компенсации люфта, мы должны выбрать его слева как можно быстрее. Поэтому двигаем ускоряем винт вправо с максимальным ускорением.
люфт1.png
люфт1.png (11.65 КБ) 17286 просмотров
А теперь формулы.
Минимальное время за которое будет выбран люфт равно t1, но т.к. мы не хотим, чтобы мы проехали мимо нужного значения (нам нужно успеть разогнаться и остановиться), время за которое мы выберем люфт еще увеличится и будет равно t2. Это первая плохая сторона люфтов.
slice_0_0.png
slice_0_0.png (3.86 КБ) 17286 просмотров
Вторая - пока мы выбираем люфт мы не знаем где находится гайка, в худшем случае она будет находится на середине люфта. Тогда мы врежемся в нее на максимальной скорости v. При этом инструмент приобретет мгновенное ускорение до этой скорости. (Вот это и есть то, что я называл долбиться фрезой об материал.)
slice_1_0.png
slice_1_0.png (2.29 КБ) 17286 просмотров
Более того, мы не можем прогнозировать тот удар, который получит санок, т.к. не знаем с какой скоростью двигалась гайка. Но его энергия будет не меньше E, где m - масса управляемой системы (в худшем случае всей руки или всего портала):
slice_2_0.png
slice_2_0.png (3.4 КБ) 17286 просмотров
Вот основные теоретические аспекты люфтов.

Надо заметить, что фреза от материала может отскакивать с любой скоростью, т.е. в любом случае мы можем получить погрешность обработки вплоть до величины люфта вне зависимости от величины ускорения станка!

формулы в Oo (для просмотра содержимого нажмите на ссылку)
t_1 = sqrt{2%DELTA/a}
newline
t_2 = 2 sqrt{ %DELTA/a }
newline
v = at_2 = a sqrt{ %DELTA/a }
newline
E = {m(v_винта+v_гайки)^2} over 2
Аватара пользователя
Гармонист
Почётный участник
Почётный участник
Сообщения: 423
Зарегистрирован: 24 апр 2011, 09:14
Репутация: 72
Откуда: планета Земля
Контактная информация:

Re: Прогноз развития станкостроения и роботостроения

Сообщение Гармонист »

Nick, ты так классно объясняешь. Спасибо тебе огромное.
Многое стало понятно. :)

Если не трудно, объясни пожалуйста, что и как компенсируют вот тут:
http://www.pkmtricept.com/productos/ind ... 1240413472

и еще, пожалуйста, объясни почему ситуацию не решит если
1. гайку стянуть(например пружиной) чтобы не было люфта
2. выбрать люфт под действием собственной силы тяжести механизма
Nick писал(а):Для компенсации люфта, мы должны выбрать его слева как можно быстрее.
и почему нельзя выбирать люфт медленно, а не с максимальным ускорением?

:?:
http://cnc-club.ru/forum/viewtopic.php?t=1064 - домашний станок типа "рука"
http://cnc-club.ru/forum/viewtopic.php?t=1107 - быстро создать 3d образ без сканера по фоткам
http://cnc-club.ru/forum/viewtopic.php?t=1073 - прогноз станко-строения
http://livehistory.ru - мозаика складывается
http://www.economics.kiev.ua - почему все так в нашем мире
Ответить

Вернуться в «Общие вопросы»