EASYCNC TECH 5 осевой фрезерный станок с подвижным столом
-
krambon
- Кандидат
- Сообщения: 66
- Зарегистрирован: 20 дек 2020, 17:02
- Репутация: 17
- Настоящее имя: leonid
EASYCNC TECH 5 осевой фрезерный станок с подвижным столом
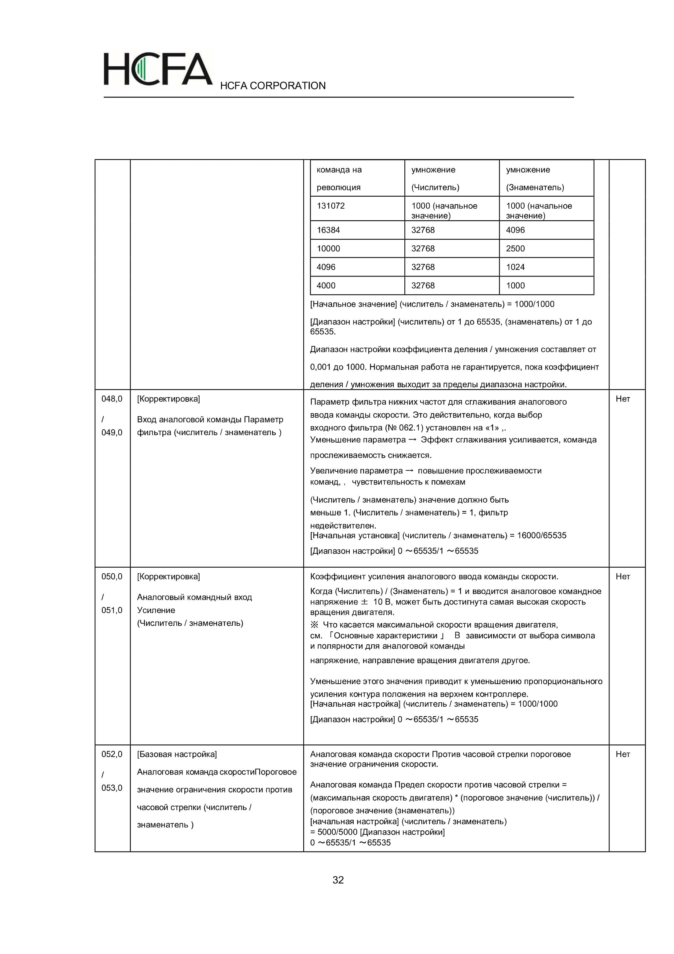
Всем привет! Купил на Taobao б/у 400вт серводвигатель и привод Производитель HCFA модель SV-X3DA040A-D / SV-X3MH040A-N2LN Этот сервопривод с демонтажа и китайцы его уже настроили Подключил по схеме step dir всё работает то есть вращается Вопрос к спецам как правильно настроить сервопривод в режиме позиционирования Есть два пункта в которых я запутался это 34 пункт и 36 Числитель и знаменатель они отвечают за правильное позиционирования Китайцы вписали в 34 параметр 32768 а 36 параметр 1250 Помогите разобраться у меня швп 1605 за один оборот проходит 5 мм что мне вписать в 34 и 36 параметр? ссылка на manual http://hncelectric.com/upload/201604/24 ... 344408.pdf ссылка на магазин https://item.taobao.com/item.htm?spm=a1 ... dmg8j26111
Последний раз редактировалось krambon 07 янв 2023, 21:43, всего редактировалось 5 раз.
-
Kupfershcmidt
- Мастер
- Сообщения: 2295
- Зарегистрирован: 04 авг 2019, 15:54
- Репутация: 323
- Настоящее имя: Сергей
- Контактная информация:
Re: Настройка сервопривода HCFA SV-X3E series
Сервоприводу вообще наплевать на шаг винта. Это забота контроллера.
-
aftaev
- Зачётный участник

- Сообщения: 34042
- Зарегистрирован: 04 апр 2010, 19:22
- Репутация: 6194
- Откуда: Казахстан.
- Контактная информация:
Re: Настройка сервопривода HCFA SV-X3E series
Серву лучше настроить чтобы 1 шаг = 0,001мм или 0,01мм (если контроллер выдаст нужную частоту).krambon писал(а): ↑ Вопрос к спецам как правильно настроить сервопривод в режиме позиционирования Есть два пункта в которых я запутался это 34 пункт и 36 Числитель и знаменатель они отвечают за правильное позиционирования Китайцы вписали в 34 параметр 32768 а 36 параметр 1250 Помогите разобраться у меня швп 1605 за один оборот проходит 5 мм что мне вписать в 34 и 36 параметр?
Чтобы это рассчитать нужно знать значение энкодера. Может отличаться от модели моторов, потому смотрим в мануале.
Далее это рассчитывается так. Это как рассчитывать в Яскавах, но принцип такой же, название параметров будут другие.
Дилетанту сложные вещи кажутся очень простыми, и только профессионал понимает насколько сложна самая простая вещь
Кто хочет - ищет возможности, кто не хочет - ищет оправдание.
Найди работу по душе и тебе не придется работать.
Кто хочет - ищет возможности, кто не хочет - ищет оправдание.
Найди работу по душе и тебе не придется работать.
-
krambon
- Кандидат
- Сообщения: 66
- Зарегистрирован: 20 дек 2020, 17:02
- Репутация: 17
- Настоящее имя: leonid
Re: Настройка сервопривода HCFA SV-X3E series
Оказывается этот сервопривод можно настраивать через программу HCX SETUP ссылка на программу http://www.hncelectric.com/en_product_show.aspx?id=643
Перед тем как вносить свои изменения в настройках сервопривода сохранил китайские настройки (те что китайцы настраивали) вот настройки может кому то пригодится Очень удобно и быстро можно перебросить настройки с одного сервопривода на другой
Перед тем как вносить свои изменения в настройках сервопривода сохранил китайские настройки (те что китайцы настраивали) вот настройки может кому то пригодится Очень удобно и быстро можно перебросить настройки с одного сервопривода на другой
- Вложения
-
- SV-X3DA040A_D.xml
- (338.86 КБ) 316 скачиваний
-
krambon
- Кандидат
- Сообщения: 66
- Зарегистрирован: 20 дек 2020, 17:02
- Репутация: 17
- Настоящее имя: leonid
Re: Настройка сервопривода HCFA SV-X3E series
Сервопривода HCFA SV-X3E и HCFA SV-X3D series с виду одинаковые но настраиваются по разному Вот для сравнения два мануала на HCFA SV-X3E и HCFA SV-X3D series
- Вложения
-
- SV-X3E Servo Drive User Manual-V5.1.pdf
- (10.03 МБ) 1414 скачиваний
-
- SV-X3D.pdf
- (5.08 МБ) 1821 скачивание
-
krambon
- Кандидат
- Сообщения: 66
- Зарегистрирован: 20 дек 2020, 17:02
- Репутация: 17
- Настоящее имя: leonid
Re: Настройка сервопривода HCFA SV-X3E series
Сегодня проверил сервопривод на станке: швп 1605 контроллер чпу выдаёт 1600 импульсов что соответствует 5 мм но ось проезжает всего
1.25 мм Параметр серв P34-32768 а Р36-1600 Потом разобрался импульсы которые идут с контроллера в сервопривод нужно делить на 4 Р36-1600/4=400
1.25 мм Параметр серв P34-32768 а Р36-1600 Потом разобрался импульсы которые идут с контроллера в сервопривод нужно делить на 4 Р36-1600/4=400
-
aftaev
- Зачётный участник

- Сообщения: 34042
- Зарегистрирован: 04 апр 2010, 19:22
- Репутация: 6194
- Откуда: Казахстан.
- Контактная информация:
Re: Настройка сервопривода HCFA SV-X3E series
А то что в примере не мм, а дюймы разобрался?
Дилетанту сложные вещи кажутся очень простыми, и только профессионал понимает насколько сложна самая простая вещь
Кто хочет - ищет возможности, кто не хочет - ищет оправдание.
Найди работу по душе и тебе не придется работать.
Кто хочет - ищет возможности, кто не хочет - ищет оправдание.
Найди работу по душе и тебе не придется работать.
-
krambon
- Кандидат
- Сообщения: 66
- Зарегистрирован: 20 дек 2020, 17:02
- Репутация: 17
- Настоящее имя: leonid
Re: Настройка сервопривода HCFA SV-X3E series
с дюймами не стал разбираться перевёл в мм и поставил свои цифры если не правильно посчитал поправьте https://www.youtube.com/watch?v=f3UISwGs17M
-
krambon
- Кандидат
- Сообщения: 66
- Зарегистрирован: 20 дек 2020, 17:02
- Репутация: 17
- Настоящее имя: leonid
Re: Настройка сервопривода HCFA SV-X3E series
Купил б/у 750вт сервопривод Производитель HCFA модель SV-X3EA075A-A Этот сервопривод с демонтажа и китайцы его уже настроили На видео показаны параметры которые настраивали китайцы В параметр 00-8 нужно вписать Импульсы которые идут с контроллера чпу в сервопривод для правильного позиционирования Сервопривод можно настраивать с помощью программы HCS-Studio https://www.youtube.com/watch?v=jlur1oq ... e=youtu.be
- Вложения
-
- Parameter Files X3E 750.xml
- (704.88 КБ) 282 скачивания
-
krambon
- Кандидат
- Сообщения: 66
- Зарегистрирован: 20 дек 2020, 17:02
- Репутация: 17
- Настоящее имя: leonid
Re: Настройка сервопривода HCFA SV-X3E series
Начал собирать 5 осевой чпу станок видео работы сервопривода SV-X3DA040A-D / SV-X3MH040A-N2LN
https://www.youtube.com/watch?v=U1HN9V-eBOI
https://www.youtube.com/watch?v=U1HN9V-eBOI
-
krambon
- Кандидат
- Сообщения: 66
- Зарегистрирован: 20 дек 2020, 17:02
- Репутация: 17
- Настоящее имя: leonid
Re: Настройка сервопривода HCFA SV-X3E series
Прикупил электроники теперь будет чем зимой заняться
-
Kupfershcmidt
- Мастер
- Сообщения: 2295
- Зарегистрирован: 04 авг 2019, 15:54
- Репутация: 323
- Настоящее имя: Сергей
- Контактная информация:
Re: Настройка сервопривода HCFA SV-X3E series
Как то с таким контороллером полноценно в пяти осях не особо получится...имха.
-
krambon
- Кандидат
- Сообщения: 66
- Зарегистрирован: 20 дек 2020, 17:02
- Репутация: 17
- Настоящее имя: leonid
Re: Настройка сервопривода HCFA SV-X3E series
Получится они специально для этого разрабатывались в настройках нужно выбрать какой станок будет использоваться всего 8 станков в моём случае это цифра 8 5 axis cnc machine head head
-
krambon
- Кандидат
- Сообщения: 66
- Зарегистрирован: 20 дек 2020, 17:02
- Репутация: 17
- Настоящее имя: leonid
Re: Настройка сервопривода HCFA SV-X3E series
Ну и самое главное для правильной работы это постпроцессор который заточен именно для этого контроллера Я заказывал у китайцев SMC5-5-N-N-RTCP-5AXIS(AC).pmoptz
-
krambon
- Кандидат
- Сообщения: 66
- Зарегистрирован: 20 дек 2020, 17:02
- Репутация: 17
- Настоящее имя: leonid
Re: Настройка сервопривода HCFA SV-X3E series
самый свежий мануал на автономный контроллер SMC5-5-N-N оригинал может кому то пригодится
-
krambon
- Кандидат
- Сообщения: 66
- Зарегистрирован: 20 дек 2020, 17:02
- Репутация: 17
- Настоящее имя: leonid
Re: Настройка сервопривода HCFA SV-X3E series
схема подключения сервопривода к а автономному контроллеру SMC5-5-N-N по Step Dir
-
krambon
- Кандидат
- Сообщения: 66
- Зарегистрирован: 20 дек 2020, 17:02
- Репутация: 17
- Настоящее имя: leonid
Re: Настройка сервопривода HCFA SV-X3E series и а автономного контроллера SMC5-5-N-N
Немного фото о проделанной работе