Страница 3 из 4
Re: Выбор серв
Добавлено: 07 фев 2017, 12:47
sidor094
Вы хотите сказать ,что снизив через редуктор скорость вдвое,мы увеличиваем момент на выходе в четыре раза? Тогда мы получаем вдвое большую энергию на выходе чем на входе.А если в 10 раз?
Re: Выбор серв
Добавлено: 07 фев 2017, 13:04
PKM
Речь о приведенном моменте инерции нагрузки.
Re: Выбор серв
Добавлено: 07 фев 2017, 13:07
PKM
И еще хочу напомнить, что для сервопривода очень важным является соотношение момента инерции нагрузки и ротора.
Re: Выбор серв
Добавлено: 07 фев 2017, 18:37
Duhas
sidor094 писал(а):Вы хотите сказать ,что снизив через редуктор скорость вдвое,мы увеличиваем момент на выходе в четыре раза? Тогда мы получаем вдвое большую энергию на выходе чем на входе.А если в 10 раз?
мой вам совет, если ваш шаблон трещит и вы видите что люди пишут дикие вещи - перечитайте, вполне вероятно что вы просто не так поняли.
Re: Выбор серв
Добавлено: 07 фев 2017, 19:15
sidor094
Ещё раз перечитал спорное утверждение.
Duhas писал(а):мотор у нас может развивать некоторый момент, например, 2Нм. пусть мотор будет мощностью 1кВт. и второй мотор той же мощности, но с моментом номинальным 1Нм, добавив ко второму мотору редуктор 2 к 1 мы получим на выходе редуктора те же 2 Нм, однако! момент инерции (мне показалось что вы не различаете момент инерции и просто момент, если да - сначала изучите вопрос, а то будем долго спорить ) приведенный к валу мотора без редуктора, пусть будет 1 кг·м², тогда момент инерции приведенный к валу мотора с редуктором будет 1/2^2 кг·м², что позволит мотору с редуктором разгонять нагрузку в 2 раза быстрее чем мотор с в два раза большим моментом, но без редуктора.
Т.е получается ,что имея момент на валу ШВП 2нм как в первом так и во втором случае время разгона ШВП изменяется.Нагрузка при этом не меняется,та же ШВП. Т. е. время разгона зависит не только от момента ,но и от источника этого момента(просто двигатель,двигатель с редуктором).Это противоречит законом физики.Сколько не приводите момент инерции от вала к редуктору и обратно законы физики нарушить не удастся.
Что я не так понял?
Re: Выбор серв
Добавлено: 08 фев 2017, 07:09
Duhas
видимо законы физики. я же вам через равенство кинетических энергий уже расписал все, ссылку дал где все подробно и в общем виде.. Мне правда уже надоело.
Re: Выбор серв
Добавлено: 08 фев 2017, 10:20
PKM
Вообще да, что-то я уже начинаю сомневаться

Сразу-то о другом была речь.
Похоже таки не разгонит быстрее.
Re: Выбор серв
Добавлено: 08 фев 2017, 19:46
Duhas
видимо придется модельку сваять..
для корректности эксперимента прошу помочь с данными на сервы, а именно нужны параметра моторов одной мощности но с разными оборотами и моментами.. в идеале одного производителя. Нужны наборы параметров обороты-момент-момент инерции ротора. На данным момент в синтетическом тесте вариант с редуктором проигрывает из-за того что момент инерции ротора мотора я не меняю, т.к. нет данных, и именно он влияет на динамику системы. Хотя у сеня есть подозрение что Simmechanics не шибко то полноценно моделирует редукцию..
Re: Выбор серв
Добавлено: 09 фев 2017, 09:59
Hanter
Андрей может это поможет:
это вторая сигма яскавы. моторы однотипные. полностью конечно не пересекаются, но очень близкие можно выделит - например 0,85 и 0,9 квт.. вроде все данные есть.
Re: Выбор серв
Добавлено: 09 фев 2017, 19:30
Duhas
Ну вот как то так насимулировалось:
Низкооборотный - 2000
Высокообротный - 3000
Редукция 1.5
оба движка примерно равны по мощности, разница на графиках за гранью различия 0,85 и 0,9
верхние графики - задание и текущая скорость
по середине ток и момент
внизу - ускорение
Тут был косяк в модели, ниже будут новые данные по другим моторам, а потом верятно и по этим же..

- Низкооборотный двигатель прямой привод

- Высокооборотный двигатель прямой привод

- Высокооборотный двигатель редукция 1.5
Модельки выглядят вот так.. я по сути "аппроксимировал" это дело моделью коллекторного двигателя, параметры макс тока/момента подобрал сопротивлением обмотки, на точность самой модельки не претендую, однако мы сравниваем разницу во внешних характеристиках и она тут на лицо.

- Моделька в целом

- Моделька мотора
Re: Выбор серв
Добавлено: 09 фев 2017, 20:49
merkwurdigliebe
Duhas писал(а): нужны параметра моторов одной мощности но с разными оборотами и моментами.. в идеале одного производителя. Нужны наборы параметров обороты-момент-момент инерции ротора.
мицубиси, мощность 400Вт
модель: номинальные обороты 1/min, максимальные обороты 1/min, номинальный момент N*m, максимальный момент N*m, момент инерции 10-4kg*m*m
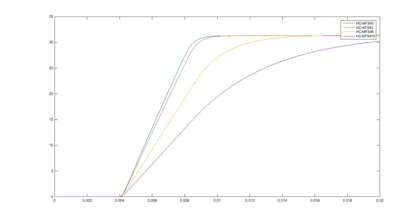
HC-MFS43: 3000, 4500, 1.3, 3.8, 0.143
HC-KFS43: 3000, 4500, 1.3, 3.8, 0.51
HC-KFS46: 6000, 6000, 0.64, 2.87, 0.64
HC-KFS410: 10000, 10000, 0.38, 1.91, 0.47
Re: Выбор серв
Добавлено: 09 фев 2017, 20:52
PKM
Duhas, ты скажи что получилось. Все три графика написано прямой привод, где же через редуктор?
Re: Выбор серв
Добавлено: 09 фев 2017, 22:55
Duhas
PKM писал(а):Duhas, ты скажи что получилось. Все три графика написано прямой привод, где же через редуктор?
My bad, описание графика похоже убилось когда догружал еще картинки.. поправил!
merkwurdigliebe писал(а):
HC-MFS43: 3000, 4500, 1.3, 3.8, 0.143
HC-KFS43: 3000, 4500, 1.3, 3.8, 0.51
HC-KFS46: 6000, 6000, 0.64, 2.87, 0.64
HC-KFS410: 10000, 10000, 0.38, 1.91, 0.47
я убил 2 вечера на это дело
забивать и скринить как оно сейчас реализовано мне правда лень ) на днях постараюсь написать скриптик для автоматизации процесса и выложу 1 картинкой сравнение.
пока что есть пожелания по отображаемой информации? распределение моментов на разгон ротора и нагрузки, например. Ну и какую нагрузки повесим? выше была в 10 раз больше чем ротор тихоходного движка.
Re: Выбор серв
Добавлено: 09 фев 2017, 23:13
PKM
Duhas писал(а):My bad, описание графика похоже убилось когда догружал еще картинки.. поправил!
Две верхних картинки все еще одинаковое описание

Ну я уже примерно понимаю, что высокооборотный с редуктором разгоняет быстрее всех.
Вообще задача такая. Все моторы 3000 об/мин.
1. 800 Вт
2. 400 Вт
3. 400 Вт через редуктор 1:2
Re: Выбор серв
Добавлено: 09 фев 2017, 23:28
Duhas
поправил еще раз, это багает форум точно... , борю лень и делаю на митсы.. 800 и 400 сравнивать смысла не много будет, хотя можно, если из скринов на яскавы - конкретные выделите.
ПС на картинки выше не смотрите, там судя по всему была ошибочка..
Re: Выбор серв
Добавлено: 09 фев 2017, 23:42
PKM
Лучше свои скриншоты сделаю
Re: Выбор серв
Добавлено: 10 фев 2017, 00:11
Duhas
PKM писал(а):Лучше свои скриншоты сделаю
не помешает детально описать условия эксперимента,я в фоне буду это дело доводить до ума еще.. пока у нас тут только контур скорости..
ну и вот что получилось по параметрам от merkwurdigliebe, не зря я подумал что было все слишком круто в первых графиках

- Без редукции

- С редукцией приводящей к одинаковой макс скорости

- С редукцией приводящей к одинаковой макс скорости момент инерции нагрузки в 2 раза выше
ПС это все классно конечно и полезно в целом, однако без контура положения и конкретных условий работы выбрать тот или иной вариант не выйдет, имхо.
Re: Выбор серв
Добавлено: 10 фев 2017, 00:24
PKM
Duhas писал(а): без контура положения и конкретных условий работы выбрать тот или иной вариант не выйдет, имхо
То есть почему? Можно задаться самым простым вариантом - разгон "изо всех сил", как и сделано...
Главное преимущество видится в том, что через редуктор при прочих равных будет меньше приведенный момент инерции, что повышает качество управления - снижает рассогласование. Вот это доказать на моделях будет сложновато.
Re: Выбор серв
Добавлено: 10 фев 2017, 00:29
Duhas
PKM писал(а):
То есть почему? Можно задаться самым простым вариантом - разгон "изо всех сил", как и сделано...
на совсем. на графиках разгон до 300 оборотов на выходе.. что с редуктором что без.
PKM писал(а):
Главное преимущество видится в том, что через редуктор при прочих равных будет меньше приведенный момент инерции, что повышает качество управления - снижает рассогласование. Вот это доказать на моделях будет сложновато.
товарищ sidor094 по своему прав, а я приводя пример с тем что будет разгонять в 2 раза быстрее - видимо таки нет )
поглядите последние 2 графика, видите разные формы изгиба кривых с редукцией и без при повышении нагрузки..
применяя редуктор и высокооборотный двигатель с низкой инерцией можно получать рост динамики в некоторой области скоростей и падение в другой.
ПС либо я был прав и матлаб не приводит момент инерции через компонент Gears

Re: Выбор серв
Добавлено: 10 фев 2017, 00:53
MGG
Заказал сегодня шкивы, на следующей недели будет натурный эксперимент с редукцией 1.6 к 1